首页» 通知公告

通知公告

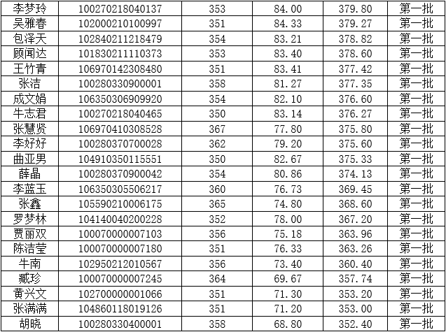
304永利登录入口人文与社会科学学院2020年教育学专业(非全日制)硕士研究生拟录取通知

各位考生:

  按照304永利登录入口2020年硕士研究生招生复试、录取工作的有关文件要求,将考生初试成绩和复试成绩加权计算出的总成绩进行排序,依次确定拟录取名单。我院2020年教育学专业(非全日制)硕士研究生拟录取名单如下:

  

人文与社会科学学院

2020年05月28日